Staking
$CLONE stakers are entitled to several benefits, features, and rewards. The three most attractive benefits are the 40% Revenue Share from bridging fees, the $CLONE Yield, and the future Airdrop of the $BRIDGE token. These benefits offer both short-term and long-term incentives, allowing stakers to participate in the ongoing success of the protocol.
There are two main types of $CLONE staking: Fixed and Flexible
1. Fixed Staking
Fixed staking offers various lock-up period options, with longer durations providing greater rewards. The longer the lock-up period, the greater the rewards for both the $CLONE Yield and the future $BRIDGE Airdrop for the staker.
The available lock-up periods are as follows:
- 3 months
- 6 months
- 12 months
- 24 months
- 36 months
- 48 months
Once your fixed staking lock-up period concludes, your $CLONE tokens remain staked within the flexible pool. You can then easily manage them by manually unstaking with the 7-day flexible unstake period, providing you with full control and flexibility over your assets.
40% Revenue Share
The revenue is shared from the bridging fees from all paths provided by Confidential Layer. Given the increasing market demand for paths to privacy blockchains and the highly sought-after path between the Bitcoin and Ethereum blockchains, this offers one of the most attractive benefits for $CLONE stakers.
In the revenue-sharing model, 40% of the protocol's revenue (after referrals and other costs) is distributed directly to $CLONE stakers. This model aligns the long-term success of the Confidential Layer protocol with the interests of $CLONE stakers, ensuring ongoing rewards as the protocol continues to grow and generate revenue.
Fixed $CLONE Yield
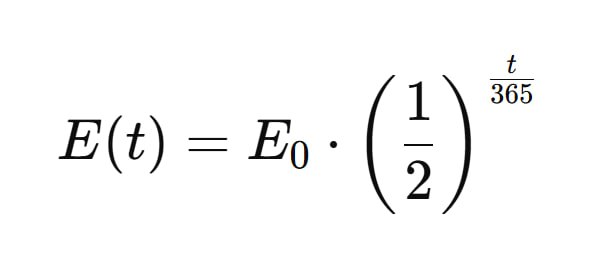
The $CLONE yield for fixed staking has a pool of 21,000,000 CLONE, which will be distributed over several years after its launch. The fixed $CLONE yield follows an exponential emission curve with periodic halvings, aligning with Bitcoin’s strategy and approach to drive fast growth.
The exponential emission curve is defined by the following function:

Future $BRIDGE Airdrop
Fixed $CLONE stakers will gain eligibility for the future airdrop of $BRIDGE, the native coin of the Bridgeless L1 blockchain. Longer lock-up periods will benefit more from this opportunity.
2. Flexible Staking
Flexible staking allows users to benefit mainly from the 40% Revenue Share and from its $CLONE Yield pool. Flexible stakers do NOT qualify for the future $BRIDGE airdrop.
The unstaking period for flexible staking is 7 days.
Flexible $CLONE Yield
The $CLONE yield for flexible staking has a pool of 3,000,000 CLONE, which will be distributed linearly over the first 12 months after its launch. These tokens will be rewarded proportionally among participants in the pool. Both flexible and fixed stakers will benefit from this pool, as fixed staking automatically qualifies for yield from the flexible staking pool as well.